Manşetler
Günün Haberleri
Arşiv
Sitene Ekle
Türkiye Eğitim
  • GÜNDEM
  • MEB PERSONEL
  • KAMU PERSONELİ
  • EĞİTİM
  • AKADEMİK
  • Ankara 0 °C
24
21:46 Kamu Yöneticilerinin Maaşlarına Dev Zam: İşte Kadrolara Göre Yeni Tutarlar
20:08 Öğretmen Adaylarına Akademide Aylık 32 Bin TL Ödeme Yapılacak
20:02 Google 2025 Arama Trendleri Açıklandı: Türkiye’nin En Çok Merak Ettikleri
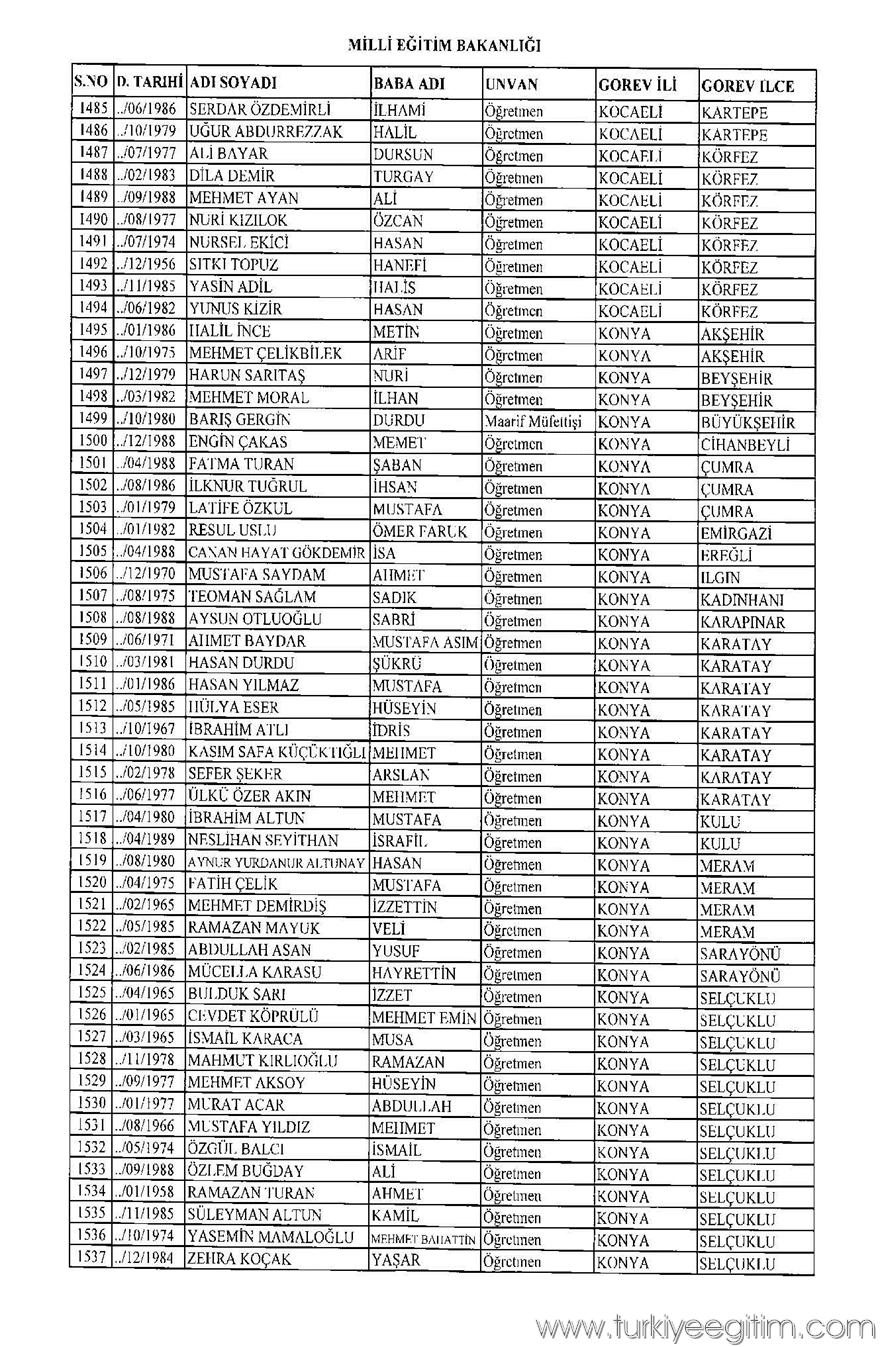
19:47 İmralı Görüşmesi Komisyona Taşındı: Tutanak Özeti Okundu
18:48 Ankara’daki Sınıf Skandalı Sonrası Öğretmenin Sözleri Yürek Burktu
18:34 MESEM’de Çocuk İşçiliği Tartışması Büyüyor: Gözaltılar Tepki Çekti
18:25 Ücret Adaleti Tartışması Büyüyor: Eğitim-Bir-Sen’den TBMM’ye “Kapsamı Genişletin” Çağrısı
08:04 Akaryakıta Yeni Zam! LPG’ye 80 Kuruşluk Artış Sonrası Güncel Fiyatlar
08:00 Hakim ve Savcı Adaylarının Görev Yerleri Açıklandı! İşte HSK Kararnamesi
07:56 Aday Performans Değerlendirmesinde Başarısız Sayılan Öğretmeni Danıştay Haklı Buldu
Günün tüm haberleri
  1. Anasayfa

  2. Foto Galeri

  3. EĞİTİM

  4. 675 sayılı KHK ile MEB'den ihraç edilen öğretmen ve personelin isim list

675 sayılı KHK ile MEB'den ihraç edilen öğretmen ve personelin isim list

675 sayılı KHK ile MEB'de görevden atılan öğretmenlerin listesi açıklandı. FETÖ soruşturması kapsamında görevden atılan personelin isim listesine haberimizden ulaşabilirsiniz.
YAYINLAMA: 30 Ekim 2016 Pazar 00:44
GÜNCELLEME: 30 Ekim 2016 Pazar 00:51
675 sayılı KHK ile MEB'den ihraç edilen öğretmen ve personelin isim 1 142
675 sayılı KHK ile MEB'den ihraç edilen öğretmen ve personelin isim 2 242
675 sayılı KHK ile MEB'den ihraç edilen öğretmen ve personelin isim 3 342
675 sayılı KHK ile MEB'den ihraç edilen öğretmen ve personelin isim 4 442
675 sayılı KHK ile MEB'den ihraç edilen öğretmen ve personelin isim 5 542
675 sayılı KHK ile MEB'den ihraç edilen öğretmen ve personelin isim 6 642
675 sayılı KHK ile MEB'den ihraç edilen öğretmen ve personelin isim 7 742
675 sayılı KHK ile MEB'den ihraç edilen öğretmen ve personelin isim 8 842
675 sayılı KHK ile MEB'den ihraç edilen öğretmen ve personelin isim 9 942
675 sayılı KHK ile MEB'den ihraç edilen öğretmen ve personelin isim 10 1042
675 sayılı KHK ile MEB'den ihraç edilen öğretmen ve personelin isim 11 1142
675 sayılı KHK ile MEB'den ihraç edilen öğretmen ve personelin isim 12 1242
675 sayılı KHK ile MEB'den ihraç edilen öğretmen ve personelin isim 13 1342
675 sayılı KHK ile MEB'den ihraç edilen öğretmen ve personelin isim 14 1442
675 sayılı KHK ile MEB'den ihraç edilen öğretmen ve personelin isim 15 1542
675 sayılı KHK ile MEB'den ihraç edilen öğretmen ve personelin isim 16 1642
675 sayılı KHK ile MEB'den ihraç edilen öğretmen ve personelin isim 17 1742
675 sayılı KHK ile MEB'den ihraç edilen öğretmen ve personelin isim 18 1842
675 sayılı KHK ile MEB'den ihraç edilen öğretmen ve personelin isim 19 1942
675 sayılı KHK ile MEB'den ihraç edilen öğretmen ve personelin isim 20 2042
675 sayılı KHK ile MEB'den ihraç edilen öğretmen ve personelin isim 21 2142
675 sayılı KHK ile MEB'den ihraç edilen öğretmen ve personelin isim 22 2242
675 sayılı KHK ile MEB'den ihraç edilen öğretmen ve personelin isim 23 2342
675 sayılı KHK ile MEB'den ihraç edilen öğretmen ve personelin isim 24 2442
675 sayılı KHK ile MEB'den ihraç edilen öğretmen ve personelin isim 25 2542
675 sayılı KHK ile MEB'den ihraç edilen öğretmen ve personelin isim 26 2642
675 sayılı KHK ile MEB'den ihraç edilen öğretmen ve personelin isim 27 2742
675 sayılı KHK ile MEB'den ihraç edilen öğretmen ve personelin isim 28 2842
675 sayılı KHK ile MEB'den ihraç edilen öğretmen ve personelin isim 29 2942
675 sayılı KHK ile MEB'den ihraç edilen öğretmen ve personelin isim 30 3042
675 sayılı KHK ile MEB'den ihraç edilen öğretmen ve personelin isim 31 3142
675 sayılı KHK ile MEB'den ihraç edilen öğretmen ve personelin isim 32 3242
675 sayılı KHK ile MEB'den ihraç edilen öğretmen ve personelin isim 33 3342
675 sayılı KHK ile MEB'den ihraç edilen öğretmen ve personelin isim 34 3442
675 sayılı KHK ile MEB'den ihraç edilen öğretmen ve personelin isim 35 3542
675 sayılı KHK ile MEB'den ihraç edilen öğretmen ve personelin isim 36 3642
675 sayılı KHK ile MEB'den ihraç edilen öğretmen ve personelin isim 37 3742
675 sayılı KHK ile MEB'den ihraç edilen öğretmen ve personelin isim 38 3842
675 sayılı KHK ile MEB'den ihraç edilen öğretmen ve personelin isim 39 3942
675 sayılı KHK ile MEB'den ihraç edilen öğretmen ve personelin isim 40 4042
675 sayılı KHK ile MEB'den ihraç edilen öğretmen ve personelin isim 41 4142
675 sayılı KHK ile MEB'den ihraç edilen öğretmen ve personelin isim 42 4242
Türkiye Eğitim © 2004
Anasayfa
Künye
İletişim
Gizlilik İlkeleri
Sitene Ekle
Haber Portalı Yazılımı
Türkiye Eğitim
Haberler
  • Son Haberler
  • Manşetler
  • GÜNDEM
  • MEB PERSONEL
  • KAMU PERSONELİ
  • EĞİTİM
  • AKADEMİK
  • SINAVLAR
  • SENDİKALAR
  • İLAN
  • SORU-CEVAP
  • SPOR
  • DOSYALAR
  • YAŞAM
  • TEKNOLOJİ
  • SAĞLIK
Diğer İçerikler
  • Foto Galeri
  • Web Tv
  • Yazarlar
  • Gazete Manşetleri
Kurumsal
  • Künye
  • İletişim
  • Gizlilik İlkeleri
  • Kullanım Şartları
  • Geliştiriciler İçin