Manşetler
Günün Haberleri
Arşiv
Sitene Ekle
Türkiye Eğitim
  • GÜNDEM
  • MEB PERSONEL
  • KAMU PERSONELİ
  • EĞİTİM
  • AKADEMİK
  • Ankara 0 °C
24
21:46 Kamu Yöneticilerinin Maaşlarına Dev Zam: İşte Kadrolara Göre Yeni Tutarlar
20:08 Öğretmen Adaylarına Akademide Aylık 32 Bin TL Ödeme Yapılacak
20:02 Google 2025 Arama Trendleri Açıklandı: Türkiye’nin En Çok Merak Ettikleri
19:47 İmralı Görüşmesi Komisyona Taşındı: Tutanak Özeti Okundu
18:48 Ankara’daki Sınıf Skandalı Sonrası Öğretmenin Sözleri Yürek Burktu
18:34 MESEM’de Çocuk İşçiliği Tartışması Büyüyor: Gözaltılar Tepki Çekti
18:25 Ücret Adaleti Tartışması Büyüyor: Eğitim-Bir-Sen’den TBMM’ye “Kapsamı Genişletin” Çağrısı
08:04 Akaryakıta Yeni Zam! LPG’ye 80 Kuruşluk Artış Sonrası Güncel Fiyatlar
08:00 Hakim ve Savcı Adaylarının Görev Yerleri Açıklandı! İşte HSK Kararnamesi
07:56 Aday Performans Değerlendirmesinde Başarısız Sayılan Öğretmeni Danıştay Haklı Buldu
Günün tüm haberleri
  1. Anasayfa

  2. Foto Galeri

  3. ÇALIŞMA HAYATI

  4. HSYK, 203 yargı mensubunu meslekten ihraç etti

HSYK, 203 yargı mensubunu meslekten ihraç etti

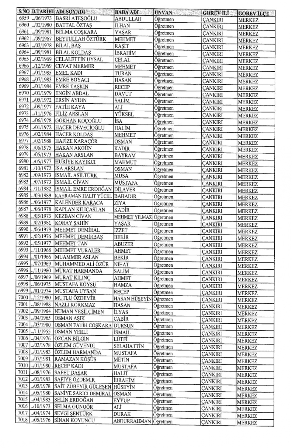
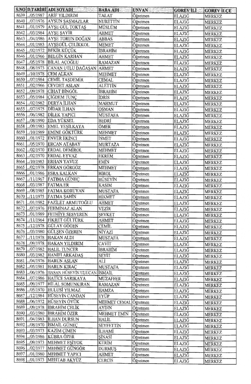
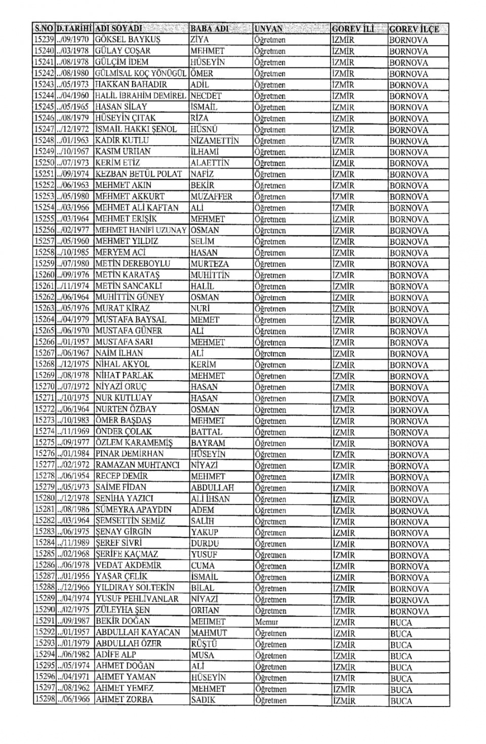
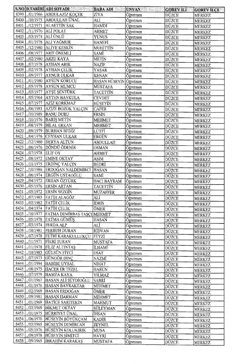
Hakimler ve Savcılar Yüksek Kurulu (HSYK), 149 hakim ve 44'ü de Cumhuriyet savcısı olmak üzere toplam 203 kişiyi meslekten çıkardı. Karar Resmi
YAYINLAMA: 17 Kasım 2016 Perşembe 23:05
GÜNCELLEME: 17 Kasım 2016 Perşembe 23:14
HSYK, 203 yargı mensubunu meslekten ihraç etti 1 1503

HSYK kararına göre; 149 hakim, 

HSYK, 203 yargı mensubunu meslekten ihraç etti 2 2503

44 Cumhuriyet savcısı,

HSYK, 203 yargı mensubunu meslekten ihraç etti 3 3503

 5 idare mahkemesi üyesi, 

HSYK, 203 yargı mensubunu meslekten ihraç etti 4 4503

2 bölge adliye mahkemesi üyesi ile 

HSYK, 203 yargı mensubunu meslekten ihraç etti 5 5503

1 ağır ceza mahkemesi başkanı,

HSYK, 203 yargı mensubunu meslekten ihraç etti 6 6503

 1 vergi mahkemesi üyesi ve 1 kurul müfettişi olmak üzere toplam 203 kişi meslekten ihraç edildi.

HSYK, 203 yargı mensubunu meslekten ihraç etti 7 7503

Kararda, daha önce Resmi gazete'de yayımlanan '667 sayılı Olağanüstü Hal Kapsamında Alınan Tedbirlere İlişkin Kanun Hükmünde Kararnamenin (KHK) 3'üncü maddesi uyarınca ismi ekli listede bulunan kişilerin FETÖ/PDY örgütü ile iltisak ve irtibatları olduğunun sabit görüldüğü' için meslekten çıkarıldıkları belirtildi. (DHA)

HSYK, 203 yargı mensubunu meslekten ihraç etti 8 8503
HSYK, 203 yargı mensubunu meslekten ihraç etti 9 9503
HSYK, 203 yargı mensubunu meslekten ihraç etti 10 10503

Resmi Gazete'de yer alan 672  sayılı KHK ile terör örgütlerine veya Milli Güvenlik Kurulunca devletin milli güvenliğine karşı faaliyette bulunduğuna karar verilen yapı, oluşum veya gruplara  üyeliği, mensubiyeti veya iltisakı yahut bunlarla irtibatı olan kamu  kurumlarındaki çok sayıda çalışanın görevlerine son verildi.

HSYK, 203 yargı mensubunu meslekten ihraç etti 11 11503

Kamudaki işlerine  son verilenlerden 28 bin 163'ü Milli Eğitim Bakanlığı, 2 bin 18'i Sağlık  Bakanlığı ve bağlı kuruluşları, 733'ü Gıda, Tarım ve Hayvancılık Bakanlığı ve  bağlı kuruluşları, bin 519'u Diyanet İşleri Başkanlığı, 439'u Aile ve Sosyal  Politikalar Bakanlığı personelinden oluşuyor.

HSYK, 203 yargı mensubunu meslekten ihraç etti 12 12503
HSYK, 203 yargı mensubunu meslekten ihraç etti 13 13503
HSYK, 203 yargı mensubunu meslekten ihraç etti 14 14503
HSYK, 203 yargı mensubunu meslekten ihraç etti 15 15503
HSYK, 203 yargı mensubunu meslekten ihraç etti 16 16503
HSYK, 203 yargı mensubunu meslekten ihraç etti 17 17503
HSYK, 203 yargı mensubunu meslekten ihraç etti 18 18503
HSYK, 203 yargı mensubunu meslekten ihraç etti 19 19503
HSYK, 203 yargı mensubunu meslekten ihraç etti 20 20503
HSYK, 203 yargı mensubunu meslekten ihraç etti 21 21503
HSYK, 203 yargı mensubunu meslekten ihraç etti 22 22503
HSYK, 203 yargı mensubunu meslekten ihraç etti 23 23503
HSYK, 203 yargı mensubunu meslekten ihraç etti 24 24503
HSYK, 203 yargı mensubunu meslekten ihraç etti 25 25503
HSYK, 203 yargı mensubunu meslekten ihraç etti 26 26503
HSYK, 203 yargı mensubunu meslekten ihraç etti 27 27503
HSYK, 203 yargı mensubunu meslekten ihraç etti 28 28503
HSYK, 203 yargı mensubunu meslekten ihraç etti 29 29503
HSYK, 203 yargı mensubunu meslekten ihraç etti 30 30503
HSYK, 203 yargı mensubunu meslekten ihraç etti 31 31503
HSYK, 203 yargı mensubunu meslekten ihraç etti 32 32503
HSYK, 203 yargı mensubunu meslekten ihraç etti 33 33503
HSYK, 203 yargı mensubunu meslekten ihraç etti 34 34503
HSYK, 203 yargı mensubunu meslekten ihraç etti 35 35503
HSYK, 203 yargı mensubunu meslekten ihraç etti 36 36503
HSYK, 203 yargı mensubunu meslekten ihraç etti 37 37503
HSYK, 203 yargı mensubunu meslekten ihraç etti 38 38503
HSYK, 203 yargı mensubunu meslekten ihraç etti 39 39503
HSYK, 203 yargı mensubunu meslekten ihraç etti 40 40503
HSYK, 203 yargı mensubunu meslekten ihraç etti 41 41503
HSYK, 203 yargı mensubunu meslekten ihraç etti 42 42503
HSYK, 203 yargı mensubunu meslekten ihraç etti 43 43503
HSYK, 203 yargı mensubunu meslekten ihraç etti 44 44503
HSYK, 203 yargı mensubunu meslekten ihraç etti 45 45503
HSYK, 203 yargı mensubunu meslekten ihraç etti 46 46503
HSYK, 203 yargı mensubunu meslekten ihraç etti 47 47503
HSYK, 203 yargı mensubunu meslekten ihraç etti 48 48503
HSYK, 203 yargı mensubunu meslekten ihraç etti 49 49503
HSYK, 203 yargı mensubunu meslekten ihraç etti 50 50503
HSYK, 203 yargı mensubunu meslekten ihraç etti 51 51503
HSYK, 203 yargı mensubunu meslekten ihraç etti 52 52503
HSYK, 203 yargı mensubunu meslekten ihraç etti 53 53503
HSYK, 203 yargı mensubunu meslekten ihraç etti 54 54503
HSYK, 203 yargı mensubunu meslekten ihraç etti 55 55503
HSYK, 203 yargı mensubunu meslekten ihraç etti 56 56503
HSYK, 203 yargı mensubunu meslekten ihraç etti 57 57503
HSYK, 203 yargı mensubunu meslekten ihraç etti 58 58503
HSYK, 203 yargı mensubunu meslekten ihraç etti 59 59503
HSYK, 203 yargı mensubunu meslekten ihraç etti 60 60503
HSYK, 203 yargı mensubunu meslekten ihraç etti 61 61503
HSYK, 203 yargı mensubunu meslekten ihraç etti 62 62503
HSYK, 203 yargı mensubunu meslekten ihraç etti 63 63503
HSYK, 203 yargı mensubunu meslekten ihraç etti 64 64503
HSYK, 203 yargı mensubunu meslekten ihraç etti 65 65503
HSYK, 203 yargı mensubunu meslekten ihraç etti 66 66503
HSYK, 203 yargı mensubunu meslekten ihraç etti 67 67503
HSYK, 203 yargı mensubunu meslekten ihraç etti 68 68503
HSYK, 203 yargı mensubunu meslekten ihraç etti 69 69503
HSYK, 203 yargı mensubunu meslekten ihraç etti 70 70503
HSYK, 203 yargı mensubunu meslekten ihraç etti 71 71503
HSYK, 203 yargı mensubunu meslekten ihraç etti 72 72503
HSYK, 203 yargı mensubunu meslekten ihraç etti 73 73503
HSYK, 203 yargı mensubunu meslekten ihraç etti 74 74503
HSYK, 203 yargı mensubunu meslekten ihraç etti 75 75503
HSYK, 203 yargı mensubunu meslekten ihraç etti 76 76503
HSYK, 203 yargı mensubunu meslekten ihraç etti 77 77503
HSYK, 203 yargı mensubunu meslekten ihraç etti 78 78503
HSYK, 203 yargı mensubunu meslekten ihraç etti 79 79503
HSYK, 203 yargı mensubunu meslekten ihraç etti 80 80503
HSYK, 203 yargı mensubunu meslekten ihraç etti 81 81503
HSYK, 203 yargı mensubunu meslekten ihraç etti 82 82503
HSYK, 203 yargı mensubunu meslekten ihraç etti 83 83503
HSYK, 203 yargı mensubunu meslekten ihraç etti 84 84503
HSYK, 203 yargı mensubunu meslekten ihraç etti 85 85503
HSYK, 203 yargı mensubunu meslekten ihraç etti 86 86503
HSYK, 203 yargı mensubunu meslekten ihraç etti 87 87503
HSYK, 203 yargı mensubunu meslekten ihraç etti 88 88503
HSYK, 203 yargı mensubunu meslekten ihraç etti 89 89503
HSYK, 203 yargı mensubunu meslekten ihraç etti 90 90503
HSYK, 203 yargı mensubunu meslekten ihraç etti 91 91503
HSYK, 203 yargı mensubunu meslekten ihraç etti 92 92503
HSYK, 203 yargı mensubunu meslekten ihraç etti 93 93503
HSYK, 203 yargı mensubunu meslekten ihraç etti 94 94503
HSYK, 203 yargı mensubunu meslekten ihraç etti 95 95503
HSYK, 203 yargı mensubunu meslekten ihraç etti 96 96503
HSYK, 203 yargı mensubunu meslekten ihraç etti 97 97503
HSYK, 203 yargı mensubunu meslekten ihraç etti 98 98503
HSYK, 203 yargı mensubunu meslekten ihraç etti 99 99503
HSYK, 203 yargı mensubunu meslekten ihraç etti 100 100503
HSYK, 203 yargı mensubunu meslekten ihraç etti 101 101503
HSYK, 203 yargı mensubunu meslekten ihraç etti 102 102503
HSYK, 203 yargı mensubunu meslekten ihraç etti 103 103503
HSYK, 203 yargı mensubunu meslekten ihraç etti 104 104503
HSYK, 203 yargı mensubunu meslekten ihraç etti 105 105503
HSYK, 203 yargı mensubunu meslekten ihraç etti 106 106503
HSYK, 203 yargı mensubunu meslekten ihraç etti 107 107503
HSYK, 203 yargı mensubunu meslekten ihraç etti 108 108503
HSYK, 203 yargı mensubunu meslekten ihraç etti 109 109503
HSYK, 203 yargı mensubunu meslekten ihraç etti 110 110503
HSYK, 203 yargı mensubunu meslekten ihraç etti 111 111503
HSYK, 203 yargı mensubunu meslekten ihraç etti 112 112503
HSYK, 203 yargı mensubunu meslekten ihraç etti 113 113503
HSYK, 203 yargı mensubunu meslekten ihraç etti 114 114503
HSYK, 203 yargı mensubunu meslekten ihraç etti 115 115503
HSYK, 203 yargı mensubunu meslekten ihraç etti 116 116503
HSYK, 203 yargı mensubunu meslekten ihraç etti 117 117503
HSYK, 203 yargı mensubunu meslekten ihraç etti 118 118503
HSYK, 203 yargı mensubunu meslekten ihraç etti 119 119503
HSYK, 203 yargı mensubunu meslekten ihraç etti 120 120503
HSYK, 203 yargı mensubunu meslekten ihraç etti 121 121503
HSYK, 203 yargı mensubunu meslekten ihraç etti 122 122503
HSYK, 203 yargı mensubunu meslekten ihraç etti 123 123503
HSYK, 203 yargı mensubunu meslekten ihraç etti 124 124503
HSYK, 203 yargı mensubunu meslekten ihraç etti 125 125503
HSYK, 203 yargı mensubunu meslekten ihraç etti 126 126503
HSYK, 203 yargı mensubunu meslekten ihraç etti 127 127503
HSYK, 203 yargı mensubunu meslekten ihraç etti 128 128503
HSYK, 203 yargı mensubunu meslekten ihraç etti 129 129503
HSYK, 203 yargı mensubunu meslekten ihraç etti 130 130503
HSYK, 203 yargı mensubunu meslekten ihraç etti 131 131503
HSYK, 203 yargı mensubunu meslekten ihraç etti 132 132503
HSYK, 203 yargı mensubunu meslekten ihraç etti 133 133503
HSYK, 203 yargı mensubunu meslekten ihraç etti 134 134503
HSYK, 203 yargı mensubunu meslekten ihraç etti 135 135503
HSYK, 203 yargı mensubunu meslekten ihraç etti 136 136503
HSYK, 203 yargı mensubunu meslekten ihraç etti 137 137503
HSYK, 203 yargı mensubunu meslekten ihraç etti 138 138503
HSYK, 203 yargı mensubunu meslekten ihraç etti 139 139503
HSYK, 203 yargı mensubunu meslekten ihraç etti 140 140503
HSYK, 203 yargı mensubunu meslekten ihraç etti 141 141503
HSYK, 203 yargı mensubunu meslekten ihraç etti 142 142503
HSYK, 203 yargı mensubunu meslekten ihraç etti 143 143503
HSYK, 203 yargı mensubunu meslekten ihraç etti 144 144503
HSYK, 203 yargı mensubunu meslekten ihraç etti 145 145503
HSYK, 203 yargı mensubunu meslekten ihraç etti 146 146503
HSYK, 203 yargı mensubunu meslekten ihraç etti 147 147503
HSYK, 203 yargı mensubunu meslekten ihraç etti 148 148503
HSYK, 203 yargı mensubunu meslekten ihraç etti 149 149503
HSYK, 203 yargı mensubunu meslekten ihraç etti 150 150503
HSYK, 203 yargı mensubunu meslekten ihraç etti 151 151503
HSYK, 203 yargı mensubunu meslekten ihraç etti 152 152503
HSYK, 203 yargı mensubunu meslekten ihraç etti 153 153503
HSYK, 203 yargı mensubunu meslekten ihraç etti 154 154503
HSYK, 203 yargı mensubunu meslekten ihraç etti 155 155503
HSYK, 203 yargı mensubunu meslekten ihraç etti 156 156503
HSYK, 203 yargı mensubunu meslekten ihraç etti 157 157503
HSYK, 203 yargı mensubunu meslekten ihraç etti 158 158503
HSYK, 203 yargı mensubunu meslekten ihraç etti 159 159503
HSYK, 203 yargı mensubunu meslekten ihraç etti 160 160503
HSYK, 203 yargı mensubunu meslekten ihraç etti 161 161503
HSYK, 203 yargı mensubunu meslekten ihraç etti 162 162503
HSYK, 203 yargı mensubunu meslekten ihraç etti 163 163503
HSYK, 203 yargı mensubunu meslekten ihraç etti 164 164503
HSYK, 203 yargı mensubunu meslekten ihraç etti 165 165503
HSYK, 203 yargı mensubunu meslekten ihraç etti 166 166503
HSYK, 203 yargı mensubunu meslekten ihraç etti 167 167503
HSYK, 203 yargı mensubunu meslekten ihraç etti 168 168503
HSYK, 203 yargı mensubunu meslekten ihraç etti 169 169503
HSYK, 203 yargı mensubunu meslekten ihraç etti 170 170503
HSYK, 203 yargı mensubunu meslekten ihraç etti 171 171503
HSYK, 203 yargı mensubunu meslekten ihraç etti 172 172503
HSYK, 203 yargı mensubunu meslekten ihraç etti 173 173503
HSYK, 203 yargı mensubunu meslekten ihraç etti 174 174503
HSYK, 203 yargı mensubunu meslekten ihraç etti 175 175503
HSYK, 203 yargı mensubunu meslekten ihraç etti 176 176503
HSYK, 203 yargı mensubunu meslekten ihraç etti 177 177503
HSYK, 203 yargı mensubunu meslekten ihraç etti 178 178503
HSYK, 203 yargı mensubunu meslekten ihraç etti 179 179503
HSYK, 203 yargı mensubunu meslekten ihraç etti 180 180503
HSYK, 203 yargı mensubunu meslekten ihraç etti 181 181503
HSYK, 203 yargı mensubunu meslekten ihraç etti 182 182503
HSYK, 203 yargı mensubunu meslekten ihraç etti 183 183503
HSYK, 203 yargı mensubunu meslekten ihraç etti 184 184503
HSYK, 203 yargı mensubunu meslekten ihraç etti 185 185503
HSYK, 203 yargı mensubunu meslekten ihraç etti 186 186503
HSYK, 203 yargı mensubunu meslekten ihraç etti 187 187503
HSYK, 203 yargı mensubunu meslekten ihraç etti 188 188503
HSYK, 203 yargı mensubunu meslekten ihraç etti 189 189503
HSYK, 203 yargı mensubunu meslekten ihraç etti 190 190503
HSYK, 203 yargı mensubunu meslekten ihraç etti 191 191503
HSYK, 203 yargı mensubunu meslekten ihraç etti 192 192503
HSYK, 203 yargı mensubunu meslekten ihraç etti 193 193503
HSYK, 203 yargı mensubunu meslekten ihraç etti 194 194503
HSYK, 203 yargı mensubunu meslekten ihraç etti 195 195503
HSYK, 203 yargı mensubunu meslekten ihraç etti 196 196503
HSYK, 203 yargı mensubunu meslekten ihraç etti 197 197503
HSYK, 203 yargı mensubunu meslekten ihraç etti 198 198503
HSYK, 203 yargı mensubunu meslekten ihraç etti 199 199503
HSYK, 203 yargı mensubunu meslekten ihraç etti 200 200503
HSYK, 203 yargı mensubunu meslekten ihraç etti 201 201503
HSYK, 203 yargı mensubunu meslekten ihraç etti 202 202503
HSYK, 203 yargı mensubunu meslekten ihraç etti 203 203503
HSYK, 203 yargı mensubunu meslekten ihraç etti 204 204503
HSYK, 203 yargı mensubunu meslekten ihraç etti 205 205503
HSYK, 203 yargı mensubunu meslekten ihraç etti 206 206503
HSYK, 203 yargı mensubunu meslekten ihraç etti 207 207503
HSYK, 203 yargı mensubunu meslekten ihraç etti 208 208503
HSYK, 203 yargı mensubunu meslekten ihraç etti 209 209503
HSYK, 203 yargı mensubunu meslekten ihraç etti 210 210503
HSYK, 203 yargı mensubunu meslekten ihraç etti 211 211503
HSYK, 203 yargı mensubunu meslekten ihraç etti 212 212503
HSYK, 203 yargı mensubunu meslekten ihraç etti 213 213503
HSYK, 203 yargı mensubunu meslekten ihraç etti 214 214503
HSYK, 203 yargı mensubunu meslekten ihraç etti 215 215503
HSYK, 203 yargı mensubunu meslekten ihraç etti 216 216503
HSYK, 203 yargı mensubunu meslekten ihraç etti 217 217503
HSYK, 203 yargı mensubunu meslekten ihraç etti 218 218503
HSYK, 203 yargı mensubunu meslekten ihraç etti 219 219503
HSYK, 203 yargı mensubunu meslekten ihraç etti 220 220503
HSYK, 203 yargı mensubunu meslekten ihraç etti 221 221503
HSYK, 203 yargı mensubunu meslekten ihraç etti 222 222503
HSYK, 203 yargı mensubunu meslekten ihraç etti 223 223503
HSYK, 203 yargı mensubunu meslekten ihraç etti 224 224503
HSYK, 203 yargı mensubunu meslekten ihraç etti 225 225503
HSYK, 203 yargı mensubunu meslekten ihraç etti 226 226503
HSYK, 203 yargı mensubunu meslekten ihraç etti 227 227503
HSYK, 203 yargı mensubunu meslekten ihraç etti 228 228503
HSYK, 203 yargı mensubunu meslekten ihraç etti 229 229503
HSYK, 203 yargı mensubunu meslekten ihraç etti 230 230503
HSYK, 203 yargı mensubunu meslekten ihraç etti 231 231503
HSYK, 203 yargı mensubunu meslekten ihraç etti 232 232503
HSYK, 203 yargı mensubunu meslekten ihraç etti 233 233503
HSYK, 203 yargı mensubunu meslekten ihraç etti 234 234503
HSYK, 203 yargı mensubunu meslekten ihraç etti 235 235503
HSYK, 203 yargı mensubunu meslekten ihraç etti 236 236503
HSYK, 203 yargı mensubunu meslekten ihraç etti 237 237503
HSYK, 203 yargı mensubunu meslekten ihraç etti 238 238503
HSYK, 203 yargı mensubunu meslekten ihraç etti 239 239503
HSYK, 203 yargı mensubunu meslekten ihraç etti 240 240503
HSYK, 203 yargı mensubunu meslekten ihraç etti 241 241503
HSYK, 203 yargı mensubunu meslekten ihraç etti 242 242503
HSYK, 203 yargı mensubunu meslekten ihraç etti 243 243503
HSYK, 203 yargı mensubunu meslekten ihraç etti 244 244503
HSYK, 203 yargı mensubunu meslekten ihraç etti 245 245503
HSYK, 203 yargı mensubunu meslekten ihraç etti 246 246503
HSYK, 203 yargı mensubunu meslekten ihraç etti 247 247503
HSYK, 203 yargı mensubunu meslekten ihraç etti 248 248503
HSYK, 203 yargı mensubunu meslekten ihraç etti 249 249503
HSYK, 203 yargı mensubunu meslekten ihraç etti 250 250503
HSYK, 203 yargı mensubunu meslekten ihraç etti 251 251503
HSYK, 203 yargı mensubunu meslekten ihraç etti 252 252503
HSYK, 203 yargı mensubunu meslekten ihraç etti 253 253503
HSYK, 203 yargı mensubunu meslekten ihraç etti 254 254503
HSYK, 203 yargı mensubunu meslekten ihraç etti 255 255503
HSYK, 203 yargı mensubunu meslekten ihraç etti 256 256503
HSYK, 203 yargı mensubunu meslekten ihraç etti 257 257503
HSYK, 203 yargı mensubunu meslekten ihraç etti 258 258503
HSYK, 203 yargı mensubunu meslekten ihraç etti 259 259503
HSYK, 203 yargı mensubunu meslekten ihraç etti 260 260503
HSYK, 203 yargı mensubunu meslekten ihraç etti 261 261503
HSYK, 203 yargı mensubunu meslekten ihraç etti 262 262503
HSYK, 203 yargı mensubunu meslekten ihraç etti 263 263503
HSYK, 203 yargı mensubunu meslekten ihraç etti 264 264503
HSYK, 203 yargı mensubunu meslekten ihraç etti 265 265503
HSYK, 203 yargı mensubunu meslekten ihraç etti 266 266503
HSYK, 203 yargı mensubunu meslekten ihraç etti 267 267503
HSYK, 203 yargı mensubunu meslekten ihraç etti 268 268503
HSYK, 203 yargı mensubunu meslekten ihraç etti 269 269503
HSYK, 203 yargı mensubunu meslekten ihraç etti 270 270503
HSYK, 203 yargı mensubunu meslekten ihraç etti 271 271503
HSYK, 203 yargı mensubunu meslekten ihraç etti 272 272503
HSYK, 203 yargı mensubunu meslekten ihraç etti 273 273503
HSYK, 203 yargı mensubunu meslekten ihraç etti 274 274503
HSYK, 203 yargı mensubunu meslekten ihraç etti 275 275503
HSYK, 203 yargı mensubunu meslekten ihraç etti 276 276503
HSYK, 203 yargı mensubunu meslekten ihraç etti 277 277503
HSYK, 203 yargı mensubunu meslekten ihraç etti 278 278503
HSYK, 203 yargı mensubunu meslekten ihraç etti 279 279503
HSYK, 203 yargı mensubunu meslekten ihraç etti 280 280503
HSYK, 203 yargı mensubunu meslekten ihraç etti 281 281503
HSYK, 203 yargı mensubunu meslekten ihraç etti 282 282503
HSYK, 203 yargı mensubunu meslekten ihraç etti 283 283503
HSYK, 203 yargı mensubunu meslekten ihraç etti 284 284503
HSYK, 203 yargı mensubunu meslekten ihraç etti 285 285503
HSYK, 203 yargı mensubunu meslekten ihraç etti 286 286503
HSYK, 203 yargı mensubunu meslekten ihraç etti 287 287503
HSYK, 203 yargı mensubunu meslekten ihraç etti 288 288503
HSYK, 203 yargı mensubunu meslekten ihraç etti 289 289503
HSYK, 203 yargı mensubunu meslekten ihraç etti 290 290503
HSYK, 203 yargı mensubunu meslekten ihraç etti 291 291503
HSYK, 203 yargı mensubunu meslekten ihraç etti 292 292503
HSYK, 203 yargı mensubunu meslekten ihraç etti 293 293503
HSYK, 203 yargı mensubunu meslekten ihraç etti 294 294503
HSYK, 203 yargı mensubunu meslekten ihraç etti 295 295503
HSYK, 203 yargı mensubunu meslekten ihraç etti 296 296503
HSYK, 203 yargı mensubunu meslekten ihraç etti 297 297503
HSYK, 203 yargı mensubunu meslekten ihraç etti 298 298503
HSYK, 203 yargı mensubunu meslekten ihraç etti 299 299503
HSYK, 203 yargı mensubunu meslekten ihraç etti 300 300503
HSYK, 203 yargı mensubunu meslekten ihraç etti 301 301503
HSYK, 203 yargı mensubunu meslekten ihraç etti 302 302503
HSYK, 203 yargı mensubunu meslekten ihraç etti 303 303503
HSYK, 203 yargı mensubunu meslekten ihraç etti 304 304503
HSYK, 203 yargı mensubunu meslekten ihraç etti 305 305503
HSYK, 203 yargı mensubunu meslekten ihraç etti 306 306503
HSYK, 203 yargı mensubunu meslekten ihraç etti 307 307503
HSYK, 203 yargı mensubunu meslekten ihraç etti 308 308503
HSYK, 203 yargı mensubunu meslekten ihraç etti 309 309503
HSYK, 203 yargı mensubunu meslekten ihraç etti 310 310503
HSYK, 203 yargı mensubunu meslekten ihraç etti 311 311503
HSYK, 203 yargı mensubunu meslekten ihraç etti 312 312503
HSYK, 203 yargı mensubunu meslekten ihraç etti 313 313503
HSYK, 203 yargı mensubunu meslekten ihraç etti 314 314503
HSYK, 203 yargı mensubunu meslekten ihraç etti 315 315503
HSYK, 203 yargı mensubunu meslekten ihraç etti 316 316503
HSYK, 203 yargı mensubunu meslekten ihraç etti 317 317503
HSYK, 203 yargı mensubunu meslekten ihraç etti 318 318503
HSYK, 203 yargı mensubunu meslekten ihraç etti 319 319503
HSYK, 203 yargı mensubunu meslekten ihraç etti 320 320503
HSYK, 203 yargı mensubunu meslekten ihraç etti 321 321503
HSYK, 203 yargı mensubunu meslekten ihraç etti 322 322503
HSYK, 203 yargı mensubunu meslekten ihraç etti 323 323503
HSYK, 203 yargı mensubunu meslekten ihraç etti 324 324503
HSYK, 203 yargı mensubunu meslekten ihraç etti 325 325503
HSYK, 203 yargı mensubunu meslekten ihraç etti 326 326503
HSYK, 203 yargı mensubunu meslekten ihraç etti 327 327503
HSYK, 203 yargı mensubunu meslekten ihraç etti 328 328503
HSYK, 203 yargı mensubunu meslekten ihraç etti 329 329503
HSYK, 203 yargı mensubunu meslekten ihraç etti 330 330503
HSYK, 203 yargı mensubunu meslekten ihraç etti 331 331503
HSYK, 203 yargı mensubunu meslekten ihraç etti 332 332503
HSYK, 203 yargı mensubunu meslekten ihraç etti 333 333503
HSYK, 203 yargı mensubunu meslekten ihraç etti 334 334503
HSYK, 203 yargı mensubunu meslekten ihraç etti 335 335503
HSYK, 203 yargı mensubunu meslekten ihraç etti 336 336503
HSYK, 203 yargı mensubunu meslekten ihraç etti 337 337503
HSYK, 203 yargı mensubunu meslekten ihraç etti 338 338503
HSYK, 203 yargı mensubunu meslekten ihraç etti 339 339503
HSYK, 203 yargı mensubunu meslekten ihraç etti 340 340503
HSYK, 203 yargı mensubunu meslekten ihraç etti 341 341503
HSYK, 203 yargı mensubunu meslekten ihraç etti 342 342503
HSYK, 203 yargı mensubunu meslekten ihraç etti 343 343503
HSYK, 203 yargı mensubunu meslekten ihraç etti 344 344503
HSYK, 203 yargı mensubunu meslekten ihraç etti 345 345503
HSYK, 203 yargı mensubunu meslekten ihraç etti 346 346503
HSYK, 203 yargı mensubunu meslekten ihraç etti 347 347503
HSYK, 203 yargı mensubunu meslekten ihraç etti 348 348503
HSYK, 203 yargı mensubunu meslekten ihraç etti 349 349503
HSYK, 203 yargı mensubunu meslekten ihraç etti 350 350503
HSYK, 203 yargı mensubunu meslekten ihraç etti 351 351503
HSYK, 203 yargı mensubunu meslekten ihraç etti 352 352503
HSYK, 203 yargı mensubunu meslekten ihraç etti 353 353503
HSYK, 203 yargı mensubunu meslekten ihraç etti 354 354503
HSYK, 203 yargı mensubunu meslekten ihraç etti 355 355503
HSYK, 203 yargı mensubunu meslekten ihraç etti 356 356503
HSYK, 203 yargı mensubunu meslekten ihraç etti 357 357503
HSYK, 203 yargı mensubunu meslekten ihraç etti 358 358503
HSYK, 203 yargı mensubunu meslekten ihraç etti 359 359503
HSYK, 203 yargı mensubunu meslekten ihraç etti 360 360503
HSYK, 203 yargı mensubunu meslekten ihraç etti 361 361503
HSYK, 203 yargı mensubunu meslekten ihraç etti 362 362503
HSYK, 203 yargı mensubunu meslekten ihraç etti 363 363503
HSYK, 203 yargı mensubunu meslekten ihraç etti 364 364503
HSYK, 203 yargı mensubunu meslekten ihraç etti 365 365503
HSYK, 203 yargı mensubunu meslekten ihraç etti 366 366503
HSYK, 203 yargı mensubunu meslekten ihraç etti 367 367503
HSYK, 203 yargı mensubunu meslekten ihraç etti 368 368503
HSYK, 203 yargı mensubunu meslekten ihraç etti 369 369503
HSYK, 203 yargı mensubunu meslekten ihraç etti 370 370503
HSYK, 203 yargı mensubunu meslekten ihraç etti 371 371503
HSYK, 203 yargı mensubunu meslekten ihraç etti 372 372503
HSYK, 203 yargı mensubunu meslekten ihraç etti 373 373503
HSYK, 203 yargı mensubunu meslekten ihraç etti 374 374503
HSYK, 203 yargı mensubunu meslekten ihraç etti 375 375503
HSYK, 203 yargı mensubunu meslekten ihraç etti 376 376503
HSYK, 203 yargı mensubunu meslekten ihraç etti 377 377503
HSYK, 203 yargı mensubunu meslekten ihraç etti 378 378503
HSYK, 203 yargı mensubunu meslekten ihraç etti 379 379503
HSYK, 203 yargı mensubunu meslekten ihraç etti 380 380503
HSYK, 203 yargı mensubunu meslekten ihraç etti 381 381503
HSYK, 203 yargı mensubunu meslekten ihraç etti 382 382503
HSYK, 203 yargı mensubunu meslekten ihraç etti 383 383503
HSYK, 203 yargı mensubunu meslekten ihraç etti 384 384503
HSYK, 203 yargı mensubunu meslekten ihraç etti 385 385503
HSYK, 203 yargı mensubunu meslekten ihraç etti 386 386503
HSYK, 203 yargı mensubunu meslekten ihraç etti 387 387503
HSYK, 203 yargı mensubunu meslekten ihraç etti 388 388503
HSYK, 203 yargı mensubunu meslekten ihraç etti 389 389503
HSYK, 203 yargı mensubunu meslekten ihraç etti 390 390503
HSYK, 203 yargı mensubunu meslekten ihraç etti 391 391503
HSYK, 203 yargı mensubunu meslekten ihraç etti 392 392503
HSYK, 203 yargı mensubunu meslekten ihraç etti 393 393503
HSYK, 203 yargı mensubunu meslekten ihraç etti 394 394503
HSYK, 203 yargı mensubunu meslekten ihraç etti 395 395503
HSYK, 203 yargı mensubunu meslekten ihraç etti 396 396503
HSYK, 203 yargı mensubunu meslekten ihraç etti 397 397503
HSYK, 203 yargı mensubunu meslekten ihraç etti 398 398503
HSYK, 203 yargı mensubunu meslekten ihraç etti 399 399503
HSYK, 203 yargı mensubunu meslekten ihraç etti 400 400503
HSYK, 203 yargı mensubunu meslekten ihraç etti 401 401503
HSYK, 203 yargı mensubunu meslekten ihraç etti 402 402503
HSYK, 203 yargı mensubunu meslekten ihraç etti 403 403503
HSYK, 203 yargı mensubunu meslekten ihraç etti 404 404503
HSYK, 203 yargı mensubunu meslekten ihraç etti 405 405503
HSYK, 203 yargı mensubunu meslekten ihraç etti 406 406503
HSYK, 203 yargı mensubunu meslekten ihraç etti 407 407503
HSYK, 203 yargı mensubunu meslekten ihraç etti 408 408503
HSYK, 203 yargı mensubunu meslekten ihraç etti 409 409503
HSYK, 203 yargı mensubunu meslekten ihraç etti 410 410503
HSYK, 203 yargı mensubunu meslekten ihraç etti 411 411503
HSYK, 203 yargı mensubunu meslekten ihraç etti 412 412503
HSYK, 203 yargı mensubunu meslekten ihraç etti 413 413503
HSYK, 203 yargı mensubunu meslekten ihraç etti 414 414503
HSYK, 203 yargı mensubunu meslekten ihraç etti 415 415503
HSYK, 203 yargı mensubunu meslekten ihraç etti 416 416503
HSYK, 203 yargı mensubunu meslekten ihraç etti 417 417503
HSYK, 203 yargı mensubunu meslekten ihraç etti 418 418503
HSYK, 203 yargı mensubunu meslekten ihraç etti 419 419503
HSYK, 203 yargı mensubunu meslekten ihraç etti 420 420503
HSYK, 203 yargı mensubunu meslekten ihraç etti 421 421503
HSYK, 203 yargı mensubunu meslekten ihraç etti 422 422503
HSYK, 203 yargı mensubunu meslekten ihraç etti 423 423503
HSYK, 203 yargı mensubunu meslekten ihraç etti 424 424503
HSYK, 203 yargı mensubunu meslekten ihraç etti 425 425503
HSYK, 203 yargı mensubunu meslekten ihraç etti 426 426503
HSYK, 203 yargı mensubunu meslekten ihraç etti 427 427503
HSYK, 203 yargı mensubunu meslekten ihraç etti 428 428503
HSYK, 203 yargı mensubunu meslekten ihraç etti 429 429503
HSYK, 203 yargı mensubunu meslekten ihraç etti 430 430503
HSYK, 203 yargı mensubunu meslekten ihraç etti 431 431503
HSYK, 203 yargı mensubunu meslekten ihraç etti 432 432503
HSYK, 203 yargı mensubunu meslekten ihraç etti 433 433503
HSYK, 203 yargı mensubunu meslekten ihraç etti 434 434503
HSYK, 203 yargı mensubunu meslekten ihraç etti 435 435503
HSYK, 203 yargı mensubunu meslekten ihraç etti 436 436503
HSYK, 203 yargı mensubunu meslekten ihraç etti 437 437503
HSYK, 203 yargı mensubunu meslekten ihraç etti 438 438503
HSYK, 203 yargı mensubunu meslekten ihraç etti 439 439503
HSYK, 203 yargı mensubunu meslekten ihraç etti 440 440503
HSYK, 203 yargı mensubunu meslekten ihraç etti 441 441503
HSYK, 203 yargı mensubunu meslekten ihraç etti 442 442503
HSYK, 203 yargı mensubunu meslekten ihraç etti 443 443503
HSYK, 203 yargı mensubunu meslekten ihraç etti 444 444503
HSYK, 203 yargı mensubunu meslekten ihraç etti 445 445503
HSYK, 203 yargı mensubunu meslekten ihraç etti 446 446503
HSYK, 203 yargı mensubunu meslekten ihraç etti 447 447503
HSYK, 203 yargı mensubunu meslekten ihraç etti 448 448503
HSYK, 203 yargı mensubunu meslekten ihraç etti 449 449503
HSYK, 203 yargı mensubunu meslekten ihraç etti 450 450503
HSYK, 203 yargı mensubunu meslekten ihraç etti 451 451503
HSYK, 203 yargı mensubunu meslekten ihraç etti 452 452503
HSYK, 203 yargı mensubunu meslekten ihraç etti 453 453503
HSYK, 203 yargı mensubunu meslekten ihraç etti 454 454503
HSYK, 203 yargı mensubunu meslekten ihraç etti 455 455503
HSYK, 203 yargı mensubunu meslekten ihraç etti 456 456503
HSYK, 203 yargı mensubunu meslekten ihraç etti 457 457503
HSYK, 203 yargı mensubunu meslekten ihraç etti 458 458503
HSYK, 203 yargı mensubunu meslekten ihraç etti 459 459503
HSYK, 203 yargı mensubunu meslekten ihraç etti 460 460503
HSYK, 203 yargı mensubunu meslekten ihraç etti 461 461503
HSYK, 203 yargı mensubunu meslekten ihraç etti 462 462503
HSYK, 203 yargı mensubunu meslekten ihraç etti 463 463503
HSYK, 203 yargı mensubunu meslekten ihraç etti 464 464503
HSYK, 203 yargı mensubunu meslekten ihraç etti 465 465503
HSYK, 203 yargı mensubunu meslekten ihraç etti 466 466503
HSYK, 203 yargı mensubunu meslekten ihraç etti 467 467503
HSYK, 203 yargı mensubunu meslekten ihraç etti 468 468503
HSYK, 203 yargı mensubunu meslekten ihraç etti 469 469503
HSYK, 203 yargı mensubunu meslekten ihraç etti 470 470503
HSYK, 203 yargı mensubunu meslekten ihraç etti 471 471503
HSYK, 203 yargı mensubunu meslekten ihraç etti 472 472503
HSYK, 203 yargı mensubunu meslekten ihraç etti 473 473503
HSYK, 203 yargı mensubunu meslekten ihraç etti 474 474503
HSYK, 203 yargı mensubunu meslekten ihraç etti 475 475503
HSYK, 203 yargı mensubunu meslekten ihraç etti 476 476503
HSYK, 203 yargı mensubunu meslekten ihraç etti 477 477503
HSYK, 203 yargı mensubunu meslekten ihraç etti 478 478503
HSYK, 203 yargı mensubunu meslekten ihraç etti 479 479503
HSYK, 203 yargı mensubunu meslekten ihraç etti 480 480503
HSYK, 203 yargı mensubunu meslekten ihraç etti 481 481503
HSYK, 203 yargı mensubunu meslekten ihraç etti 482 482503
HSYK, 203 yargı mensubunu meslekten ihraç etti 483 483503
HSYK, 203 yargı mensubunu meslekten ihraç etti 484 484503
HSYK, 203 yargı mensubunu meslekten ihraç etti 485 485503
HSYK, 203 yargı mensubunu meslekten ihraç etti 486 486503
HSYK, 203 yargı mensubunu meslekten ihraç etti 487 487503
HSYK, 203 yargı mensubunu meslekten ihraç etti 488 488503
HSYK, 203 yargı mensubunu meslekten ihraç etti 489 489503
HSYK, 203 yargı mensubunu meslekten ihraç etti 490 490503
HSYK, 203 yargı mensubunu meslekten ihraç etti 491 491503
HSYK, 203 yargı mensubunu meslekten ihraç etti 492 492503
HSYK, 203 yargı mensubunu meslekten ihraç etti 493 493503
HSYK, 203 yargı mensubunu meslekten ihraç etti 494 494503
HSYK, 203 yargı mensubunu meslekten ihraç etti 495 495503
HSYK, 203 yargı mensubunu meslekten ihraç etti 496 496503
HSYK, 203 yargı mensubunu meslekten ihraç etti 497 497503
HSYK, 203 yargı mensubunu meslekten ihraç etti 498 498503
HSYK, 203 yargı mensubunu meslekten ihraç etti 499 499503
HSYK, 203 yargı mensubunu meslekten ihraç etti 500 500503
HSYK, 203 yargı mensubunu meslekten ihraç etti 501 501503
HSYK, 203 yargı mensubunu meslekten ihraç etti 502 502503
HSYK, 203 yargı mensubunu meslekten ihraç etti 503 503503
Türkiye Eğitim © 2004
Anasayfa
Künye
İletişim
Gizlilik İlkeleri
Sitene Ekle
Haber Portalı Yazılımı
Türkiye Eğitim
Haberler
  • Son Haberler
  • Manşetler
  • GÜNDEM
  • MEB PERSONEL
  • KAMU PERSONELİ
  • EĞİTİM
  • AKADEMİK
  • SINAVLAR
  • SENDİKALAR
  • İLAN
  • SORU-CEVAP
  • SPOR
  • DOSYALAR
  • YAŞAM
  • TEKNOLOJİ
  • SAĞLIK
Diğer İçerikler
  • Foto Galeri
  • Web Tv
  • Yazarlar
  • Gazete Manşetleri
Kurumsal
  • Künye
  • İletişim
  • Gizlilik İlkeleri
  • Kullanım Şartları
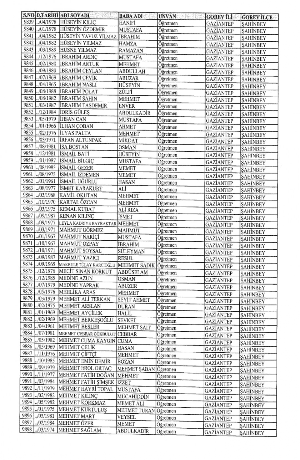
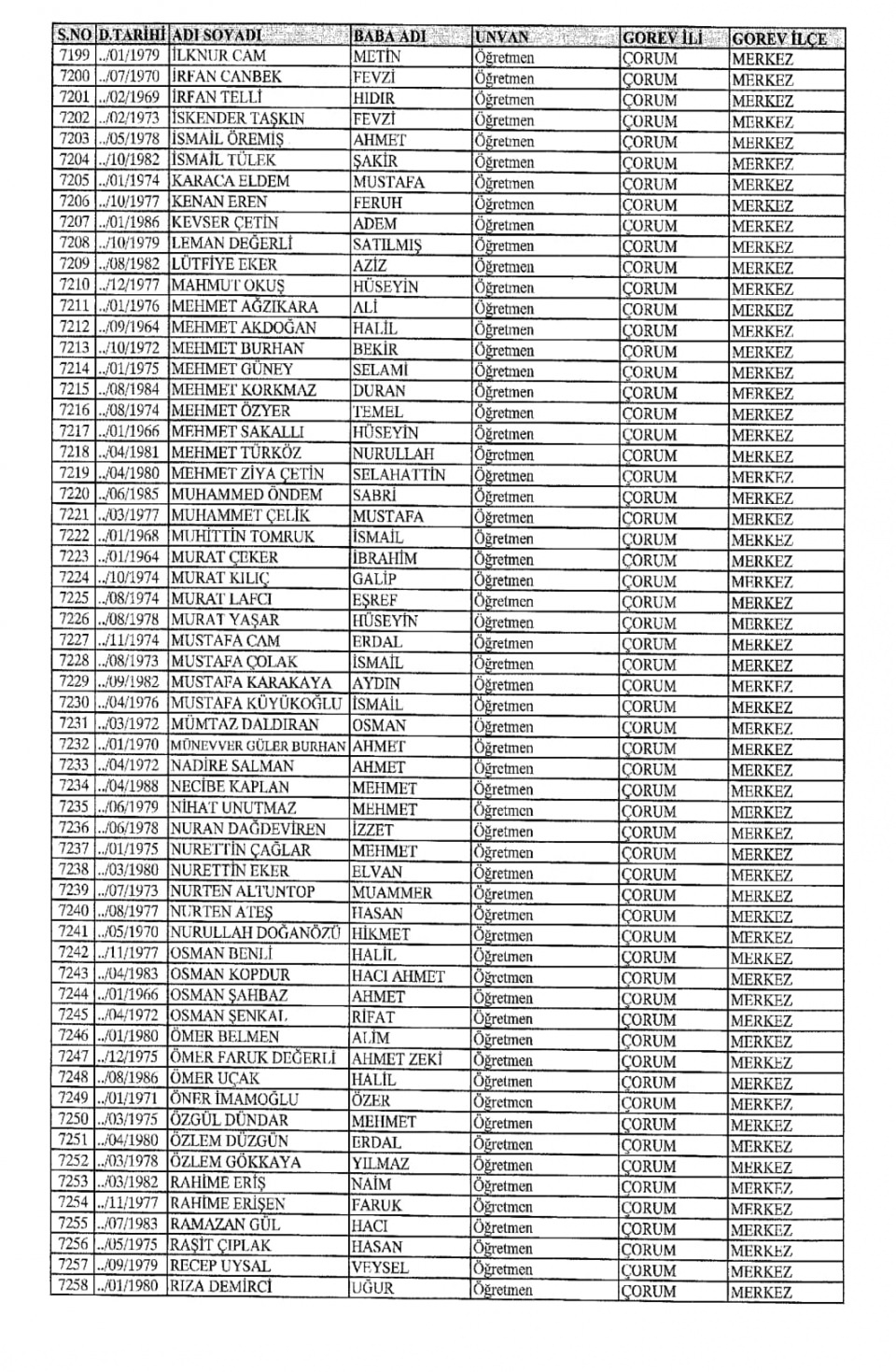
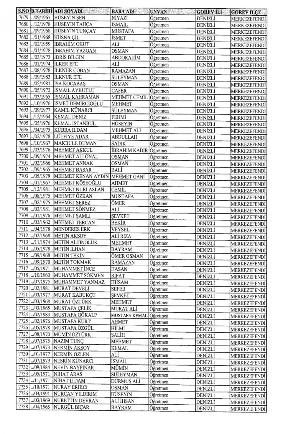
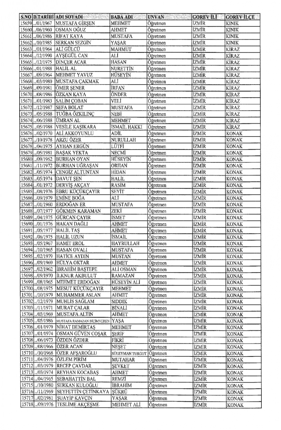
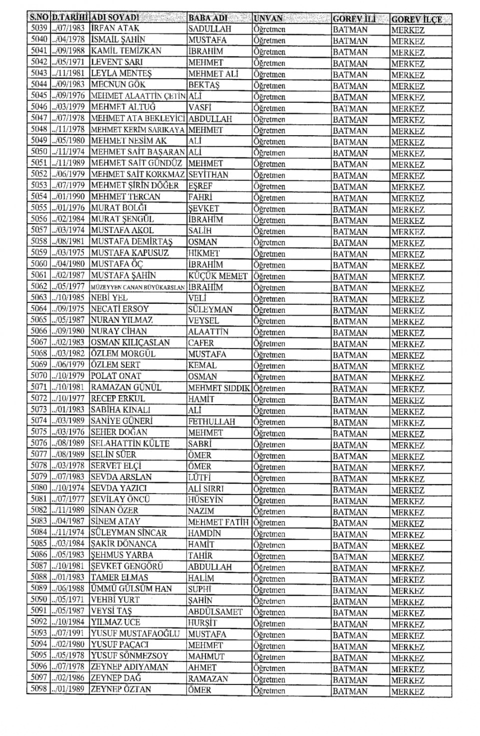
  • Geliştiriciler İçin