Öğretmen Ek Ders Ücretleri 2018 (Net ve Brüt) Ne Kadar Oldu?
Öğretmenlerin haftalık ders programı dışında ekstradan verdikleri dersler ek ders olarak öğretmenlere ek bütçe sağlamaktadır. Her ne kadar öğretmenlerin maaşlarına ek olarak girdiği ders saatine göre ödeme yapılsa da ek ders alımı belirli bir saate kadar
Öğretmenlerin haftalık ders programı dışında ekstradan verdikleri dersler ek ders olarak öğretmenlere ek bütçe sağlamaktadır. Her ne kadar öğretmenlerin maaşlarına ek olarak girdiği ders saatine göre ödeme yapılsa da ek ders alımı belirli bir saate kadar uyarlanmış ve sınırlıdır.
Milli Eğitim Bakanlığında görev yapan öğretmenlere maaş karşılığı dışında girdikleri ders saati ve tuttukları nöbet için ek ders ücreti ödemesi yapılıyor. Bu ücret her 6 ayda bir yapılan zamlarla değişmektedir.
2018 yılı ilk 6 ay için; yüzde 4, İkinci 6 ay için; yüzde 3,5,
2019 yılı ilk 6 ay için; yüzde 4, İkinci 6 ay için; yüzde 5 oranında zam yapılması hususunda anlaşmaya varılmıştır.
Ayrıca 6 aylık dönemler halinde gerçekleşen enflasyon oranının öngörülen artış oranını aşması halinde enflasyon farkı da ödenecektir. Yüzde 4’lük toplu sözleşme zammına ilave olarak yüzde 1,69 oranında enflasyon farkı alacak.
2018 Ocak Öğretmen Net Ek Ders Ücretleri aşağıdaki gibi olacaktır.
Ek ders ücreti: 12,79
Destekleme ve yetiştirme kurslarında: 25,58
Öte yandan, bu şekilde belirlenen ek ders ücreti;
-Özel eğitime muhtaç öğrencilerin eğitim ve öğretim gördüğü kurumlarda görevli öğretmenlere %25 fazlasıyla ödenir.
-Özel eğitime muhtaç öğrencilere yönelik olarak açılan özel sınıf öğretmenlerine %25 fazlasıyla ödenir.
-Cezaevlerinde görevli öğretmenlere %25 fazlasıyla ödenir.
-Destekleme ve yetiştirme kurslarında görev alan öğretmenlere %100 fazlasıyla ödenir.
Her derecedeki eğitim ve öğretim kurumları ile okul, kurs veya yaygın eğitim yapan kurumlarda ve benzeri kuruluşlarda öğretmenlere ek ders görevi verilebilmektedir. Ek ders görevi karşılığında verilecek ücretin miktarı ise; 657 sayılı Devlet Memurları Kanunu, ilgili mali yıl bütçe kanunu ve ilgili dönem toplu sözleşmesinde yer alan hükümler ile aylık katsayısı esas alınarak belirlenmektedir.
Öğretmenlerin ek ders görevi karşılığında verilecek ücretin miktarı; 657 sayılı Devlet Memurları Kanunu, ilgili mali yıl bütçe kanunu ve ilgili dönem toplu sözleşmesinde yer alan hükümler ile aylık katsayısı esas alınarak belirlenmektedir. Ek derslere uygulanan zam miktarı memur toplu sözleşmesi ile belirlenmektedir. Memur maaş zammına uygulanan zam oranı aynı oranda öğretmen ek ders ücretine de uygulanmaktadır.
Milli Eğitim Bakanlığı'nın 2018 yılında öğretmenlerin maaş karşılığı okuttuğu ders dışında okutacakları dersler için ödeyeceği brüt ve net ek ders ücretleri belli oldu.
Girdikleri ve/veya girmiş sayıldıkları ders saatleri karşılığında öğretmenlere ödenen ek ders ücretinin miktarı 1/1/2018 tarihinden itibaren artacak. Her derecedeki eğitim ve öğretim kurumları ile okul, kurs veya yaygın eğitim yapan kurumlarda ve benzeri kuruluşlarda öğretmenlere ek ders görevi verilebilmektedir.
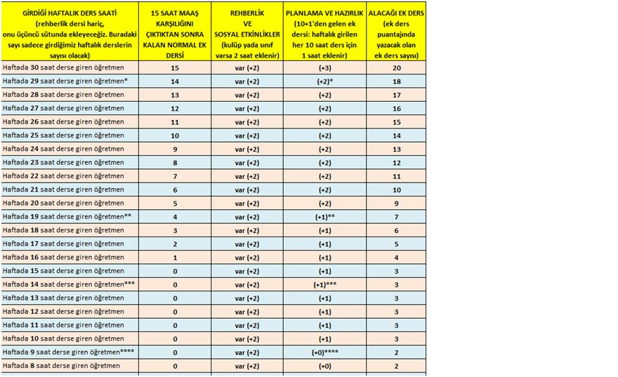
Bilindiği üzere Ek Ders Kararında; Hazırlık ve planlama görevi başlığında “MADDE 11- (1) Bu Kararın 10 uncu maddesinde sayılanlar hariç, müdür yetkili öğretmenler dâhil, her derece ve türdeki örgün ve yaygın eğitim kurumlarında görevli öğretmenlere Bakanlığa bağlı okul ve kurumlarda aylık ve ücret karşılığı fiilen okuttukları ek ders ders ücreti ödenir.”
Öğretmenlerin 2018 yılı Ocak ayı net ek ders ücretleri şöyle:
Kadrolu Öğretmen: 12,59 TL
Sözleşmeli Öğretmen: 10,81 TL
Sözleşmeli-kadrolu öğretmen arasındaki fark böylece 1,78 TL'ye çıkmış oldu.
Ek ders, öğretmenlerin maaş karşılığı girdiği derslerin üzerinde derse girdiklerinde aldığı ücrete denir. Öğretmenler maaşlarının karşılığı haftada 15 saat derse girmektedirler. Bu 15 saat girdikleri dersin ücretini maaş olarak alırlar. Bu 15 saatin üzerinde derse giren, sınıf öğretmenliği olan ve sosyal kulüp görevi olan öğretmenler ilave ek ders ücreti alırlar.
Ek ders görevi verilen eğitimciler haftalık girdikleri zorunlu derslere ek olarak derslerde eğitim verir. Girdikleri her ders için ekstra ücret alan öğretmenler aldıkları ek ders ücretleri her yıl artıyor. Normal koşullarda haftalık 15 saat ders giren öğretmenler bu 15 saatlik dersin karşılığını maaş olarak alan öğretmenler 15 saatin üzerindeki dersleri ek ders ücreti üzerinden almaktadır.
Öğretmenlerin haftalık ders programı dışında ekstradan verdikleri dersler ek ders olarak öğretmenlere ek bütçe sağlamaktadır. Her ne kadar öğretmenlerin maaşlarına ek olarak girdiği ders saatine göre ödeme yapılsada ek ders alımı belirli bir saate kadar uyarlanmış ve sınırlıdır.
Öğretmenlerin zorunlu olarak haftalık girmesi gereken ders saatinin dışında kalan saatlere devletin ders başına ödediği ek ders ücretiöğretmenlerin ham maaşından harici olup farklı zamanlarda yatar. Öğretmenler için ek gelir kapısı olan ek dersler öğretmenler için aylık sınırlı kota olarak belirlenmiştir. Belirlenen saatlerin dışına çıkmayan öğretmenlerin bir ay içerisinde alacağı maksimum ders ücretide bununla birlikte sabitlenmiştir.
Ek ders kazanmanın farklı yollarıda vardır bunlardan bazılarını sıralarsak ; Okul içerisinde nöbet tutmak, MEB'in düzenlemiş olduğu merkezi sınavlarda görev alınırsa, takviye kurs açarak ders verilirse gibi seçeneklerle ek ders ücreti almak mümkün tabi bunlarında bir sınırı olduğunu unutmamak gerekiyor.
Aşağıdaki tabloda sınıf öğretmenleri ve branş öğretmenlerin girebileceği maksimum ek ders saatlerine ulaşabilirsiniz.

MEB'in 2006 tarihli resmi gazetede yayınlanan kararına göre belirlenen ek ders ücreti ve saatlerine ait genelge ;
MADDE 1 - 1/12/2006 tarihli ve 2006/11350 sayılı Bakanlar Kurulu Kararı ile yürürlüğe konulan Milli Eğitim Bakanlığı Yönetici ve Öğretmenlerinin Ders ve Ek Ders Saatlerine İlişkin Kararın 4 üncü maddesinin birinci fıkrasının (n) bendinde yer alan "ders görevleri hariç olmak üzere," ibaresi "ders görevleri ile" şeklinde değiştirilmiştir.
MADDE 2 - Aynı Kararın 8 inci maddesinin birinci fıkrasının (a) bendinin (3) numaralı alt bendi aşağıdaki şekilde değiştirilmiştir.
"3) Yurt dışında çalışan vatandaşlarımızın çocukları, ortak dil ve kültür birliği bulunan soydaşlarımız ile ülkemizde geçici koruma altında bulunan yabancı uyrukluların toplumumuza ve eğitim sistemimize uyumlarını sağlamak amacıyla açılan kurslarda,"
MADDE 3 - Aynı Kararın 9 uncu maddesinin birinci fıkrasının (a) bendinin (2) numaralı alt bendi aşağıdaki şekilde değiştirilmiştir.
"2) Resmi görevi bulunmayanlar ile emeklilere okul öncesi, ilköğretim, orta öğretim, özel eğitim ve yaygın eğitim kurumlan ile yabancı uyrukluların eğitim gördüğü geçici eğitim merkezlerinde haftada 30 saate,"
MADDE 4 - Aynı Kararın 12 nci maddesinin birinci fıkrasında yer alan "öğrencilerin sınava girmeleri kaydıyla," ibaresi yürürlükten kaldırılmıştır.
MADDE 5 - Aynı Kararın 15 inci maddesinin birinci, ikinci ve üçüncü fıkralarında yer alan "ek" ibareleri madde metninden çıkarılmıştır.
MADDE 6 - Aynı Kararın 23 üncü maddesindeki "10, 14 ve ek 1 inci maddeleri ile 16 ncı maddesinin ikinci fıkrasındaki" ibaresi "10 ve 14 üncü maddeleri ile 16 ncı maddesinin ikinci ve üçüncü fıkralarındaki" şeklinde değiştirilmiştir.
MADDE 7 - Aynı Kararın 25 inci maddesinin üçüncü fıkrasındaki "10,14 ve ek 1 inci maddeleri ile 16 ncı maddesinin ikinci fıkrası" ibaresi "10 ve 14 üncü maddeleri ile 16 ncı maddesinin ikinci ve üçüncü fıkraları" şeklinde değiştirilmiştir.
MADDE 8 - Maliye Bakanlığı ile Sayıştay'ın görüşleri alınarak hazırlanan bu Karar yayımı tarihinde yürürlüğe girer.
MADDE 9 - Bu Karar hükümlerini Bakanlar Kurulu yürütür.

Türkçe karakter kullanılmayan ve büyük harflerle yazılmış yorumlar onaylanmamaktadır.