Öğretmenlere Öğlen Yemeği Müjdesi! Mahkeme Karar Verdi!
Çorum ilinde, il Milli Eğitim Müdürlüğü, okul ve kurumlarda çalışan müdür, müdür yardımcısı, memur ve hizmetliler için Çorum öğretmeneviyle anlaşarak yönetmelik kapsamında öğle yemeği uygulaması yapmıştır.
Devlet Memurları Yiyecek Yardımı Yönetmeliğine göre kamu çalışanlarına öğle yemeği yardımı yapılmakta ve yemek maliyetinin bir kısmı devlet(kurum) bütçesinden karşılanmaktadır. Çorum ilinde de Milli Eğitim Müdürlüğü okul ve kurumlarda çalışan kamu görevlileri için Çorum öğretmenevi ile anlaşarak yönetmelik kapsamında öğle yemeği uygulaması yapmıştır.
Bu uygulamadan tüm çalışanların (memur, hizmetli, müdür, müdür yardımcısı) yararlanması sağlanmıştır. Eğitim İş Çorum yöneticisi olan öğretmen Saim Erdoğan'da yararlanmak istemiş fakat değişik gerekçelerle yararlanamayacağı ifade edilmiştir. Yani aynı saatte bir memur daha ucuza yemek yerken öğretmenlerin normal tarifeden pahalı yemek yemelerine yönelik bir uygulama ile karşı karşıya bırakılmıştır.
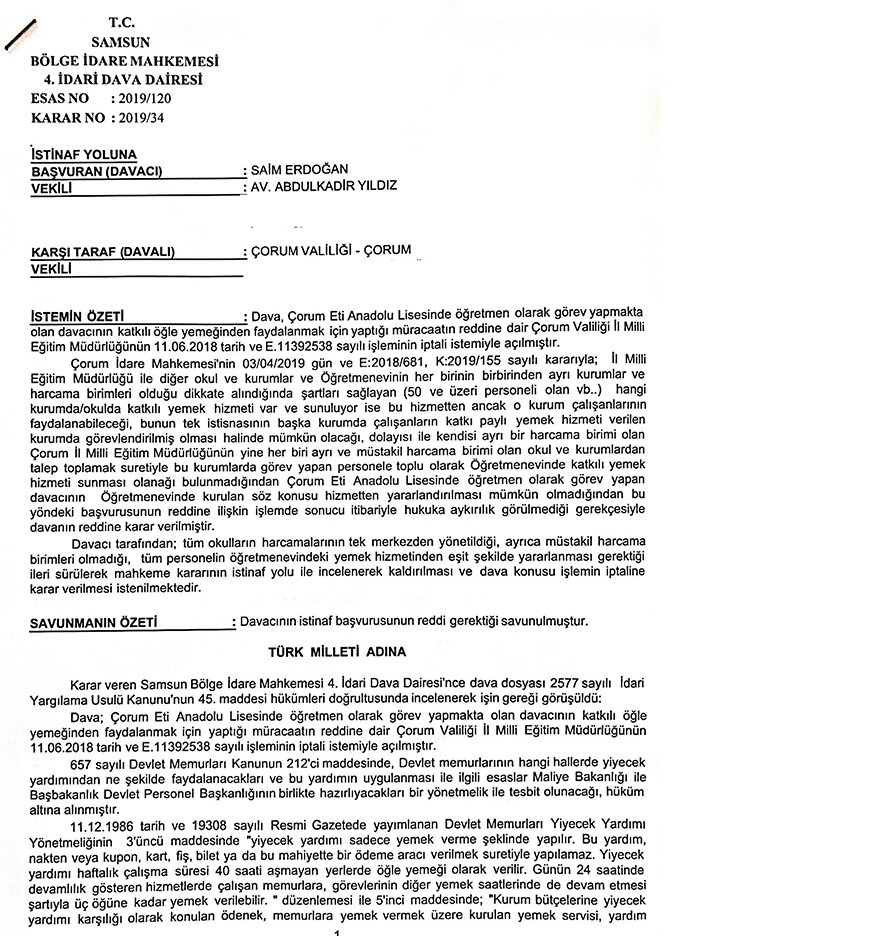
Resmi yazışmalar neticesinde talebin reddedilmesi üzerine açılan davada Çorum idare mahkemesi aleyhte karar verirmiş konu istinaf mahkemesi olan Samsun Bölge İdare Mahkemesine taşınmıştır.
İstinaf mahkemesi emsal nitelikte bir karar vererek davacının haklı olduğu tescillenmiştir.
Bu karar sonrasında, açılacak davalarla, memurlara verilen öğle yemeği uygulamasından öğretmenlerin de yararlanabilmesinin yolu açılmıştır.


kaynak: memurlar.net
Ekim Ayı Otomobil Kampanyaları Açıklandı
Türkçe karakter kullanılmayan ve büyük harflerle yazılmış yorumlar onaylanmamaktadır.