Antalya Büyükşehir Belediyesi de ilk 100'deki adayları mülakatla eledi
Antalya Büyükşehir Belediyesi, Ağustos ayında ilana çıkarak 100 itfaiye eri alacağını duyurmuştu. Belediye yönetimi Kasım ayı sonunda sonuçları açıkladı. Ankara ve Muğla Büyükşehir Belediyelerinde olduğu gibi Antalya Büyükşehir Belediyesinde de ilk 100'de
Antalya Büyükşehir Belediyesi, 19 Ağustos 2020 tarihinde ilana çıkarak 100 itfaiye eri alacağını duyurmuştu. İlan, sadece itfaiyecilikle ilgili bölüm mezunlarına başvuru imkanı tanındığı için, olumlu bulunmuştu.
Ancak, Büyükşehir Belediye yönetimi Kasım ayı sonunda sonuçları açıkladı. Ankara ve Muğla Büyükşehir Belediyelerinde olduğu gibi Antalya Büyükşehir belediyesinde de ilk 100'deki adayların çoğu sözlü sınavda elendi.
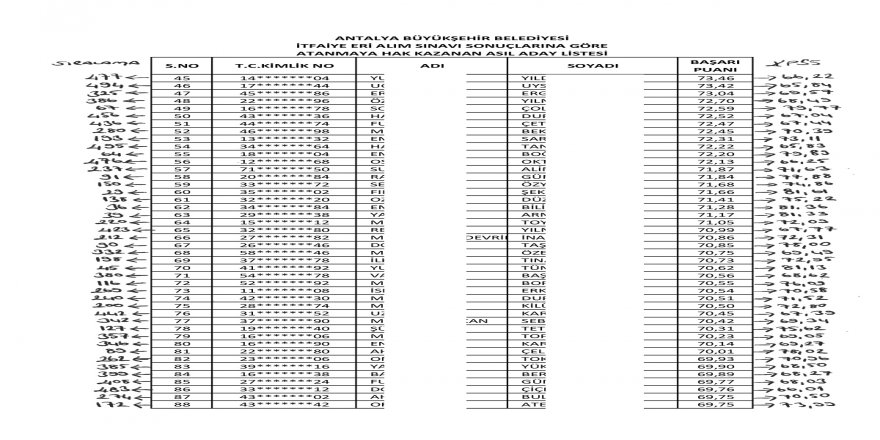
Aşağıdaki listeden görüleceği üzere, sözlü sınava çağrılan 500 adaydan, KPSS puan sıralamasına göre ilk 100'de yer alan sadece 14 aday kazanan olarak açıklanmıştır. Son sırada yer alan 24 kişi ise sözlüde verilen yüksek puanlarla ilk 100 kişilik asil listesine konulmuştur. Listenin en son sırasında, 490. olarak yer alan bir aday, 65 KPSS puanına rağmen sözlü ve uygulamalı sınavdan verilen yüksek puanlarla 9. sıradan Kazanan listesine girmiştir.
Ankara Büyükşehir ve Muğla Büyükşehir'den sonra Antalya Büyükşehir'de yaşanan bu olay, mülakat konusunda, iktidar veya muhalefetin fark etmediğini, gücü eline geçirenin kendi adamlarını almaya devam ettiğini bu nedenle ana muhalefet partisi liderinin ağzından dahi çıkmış olsa "mülakatları kaldıracağız" türü söylemlerin inandırıcı bulunmadığını göstermektedir.



Türkçe karakter kullanılmayan ve büyük harflerle yazılmış yorumlar onaylanmamaktadır.